Partiendo de un valor de potencia de cortocircuito máximo y del tiempo de disparo de las protecciones se puede obtener la sección que nos garantice la respuesta adecuada del cable a tal solicitación. Siguiendo las indicaciones del RLAT calculamos paso a paso la sección de conductor a instalar en una línea de MT según el criterio del cortocircuito
Datos de la instalación:
- Potencia de la línea: S = 2500 kVA
- Potencia de cortocircuito: Scc = 400 MVA
- Tiempo de disparo de las protecciones: tcc = 0,3 s
- Tensión de la línea: U = 18 kV
- Temperatura del terreno: Tamb = 25 ºC
- Resistividad térmica del terreno: RT = 1,5 K•m/W
- Instalación enterrada a 1,5 m
- Agrupación con otro circuito adicional en contacto
- Cables unipolares Al Eprotenax Compact 12/20 kV (aislamiento HEPR) directamente enterrados

Primeramente calculamos la sección por el criterio de la intensidad admisible.

Como las condiciones de la línea difieren de las estándares para las que se han calculado las intensidades admisibles de la tabla 6 de la ITC-LAT 06 del RLAT (intensidades para cables directamente enterrados) debemos utilizar coeficientes de corrección.
Profundidad de instalación 1,5 m --> Kp = 0,97 (tabla 11, ITC-LAT 06)
Agrupación con otro circuito --> KA = 0,76 (tabla 10, ITC-LAT 06)
Aplicando los coeficientes…
I’ = I / (KP•KA) = 80,2 / (0,97x0,76) = 108,8 A
El primer valor que supera 108,8 A en la tabla 6 de la ITC-LAT 06 es 125 y corresponde a la sección de 35 mm²

Este cálculo se puede realizar con igual resultado tomando los valores de la tabla, multiplicándolos por los coeficientes y comparando con la intensidad de la línea pero suele ser un poco más laborioso:
Para 25 mm² --> Itabla25•KP•KA --> 105 x 0,97 x 0,76 = 77,41 A < 80,2 A --> no vale 25 mm²
Para 35 mm² --> Itabla35• KP•KA --> 125 x 0,97 x 0,76 = 92,15 A > 80,2 A --> vale 35 mm²
Como punto de partida para el cálculo de la sección por cortocircuito tenemos la sección de 35 mm² (mínimo valor aceptable por calentamiento) de Al Eprotenax Compact (aislamiento HEPR). Vamos a comprobar inicialmente si esta sección nos soportará el cortocircuito máximo previsto. Para ello recurrimos a la tabla 26 de la ITC-LAT 06 del RLAT en la que tenemos los valores máximos de densidad de corriente en A/mm² en función del tiempo de duración del cortocircuito para conductores de aluminio.

Esta tabla recoge los resultados de aplicación de la siguiente fórmula para el cortocircuito:

Donde:
Icc: corriente de cortocircuito (A)
S: sección del conductor, en mm²
K: coeficiente que depende de la naturaleza del conductor y de las temperaturas al inicio y final del cortocircuito. Coincide lógicamente con el valor de la densidad de corriente para cortocircuito de duración 1s.
tcc: duración del cortocircuito, en segundos
Para comprobar si la sección de 35 mm² soporta el cortocircuito, primero calculemos la Icc máxima a soportar por la línea a partir de la potencia de cortocircuito de los datos iniciales:

Ahora tomando el valor de la tabla 26 (162 A/mm²) no tenemos más que multiplicarlo por la sección del conductor y sabremos que cortocircuito máximo soporta el cable en el tiempo de disparo de las protecciones (0,3 s).
Icc35 = 162 A/mm² x 35 mm² = 5670 A < 12830 A
Como el valor obtenido es menor que los 12860 A tendremos que emplear una sección mayor. Probamos por tanto con las secciones superiores:
Icc50 = 162 A/mm² x 50 mm² = 8100 A < 12830 A
Icc70 = 162 A/mm² x 70 mm² = 11340 A < 12830 A
Icc95 = 162 A/mm² x 95 mm² = 15390 A > 12830 A
Como vemos la sección de 95 mm² es la primera que soportaría el cortocircuito y por ello es la sección solución. Pero podemos hacer los cálculos teniendo en cuenta la temperatura inicial real a la que está el conductor realmente lo que nos lleva a obtener intensidades de cortocircuito mayores en los cables, ya que la tabla 26 está realizada en base al caso más desfavorable, que sería cuando el cable está en régimen permanente a máxima solicitación, es decir, en nuestro caso cuando el cable llevara la máxima intensidad admisible en régimen permanente y por tanto su temperatura sería de 105 ºC al tratarse de aislamiento de HEPR.
Ya sabemos que la sección de 95 mm² soportaría el cortocircuito, ahora nos interesa saber si podemos utilizar una sección inferior que nos garantice igualmente una respuesta adecuada, por tanto procedemos a hacer números más “afinados” con la sección de 70 mm².
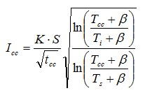
En el apartado 6.2 de la ITC-LAT 06 del RLAT encontramos que si queremos calcular el cortocircuito máximo teniendo en cuenta la temperatura inicial del conductor no tendríamos más que utilizar la fórmula empleada anteriormente afectando el segundo término de un factor que depende de la temperatura inicial y final del conductor y de la naturaleza del conductor y su aislamiento.

Donde: Tcc: máxima temperatura de cortocircuito admisible (250 ºC para cables de HEPR y XLPE)
Ti: temperatura del conductor en régimen permanente. Es la temperatura a la que se inicia el cortocircuito
Ts: temperatura máxima del conductor en régimen permanente (105 ºC para cables con aislamiento de HEPR y 90 ºC para cables con aislamiento de XLPE)
β: 235 para cobre y 228 para aluminio
Tenemos todos los valores excepto la temperatura inicial del conductor (Ti). Por lo que debemos calcularla con la siguiente expresión:
Ti = Tamb + (Ts – Tamb) (I/Imax)²
Donde:
Ti: temperatura del conductor en régimen permanente (cuando circulan 80,2 A)
Tamb: temperatura ambiente de la instalación (25 ºC en nuestro caso)
Ts: temperatura máxima que puede soportar el conductor (105 ºC para el cable Al Eprotenax Compact de nuestro ejemplo, aislamiento de HEPR)
I: intensidad que recorre el conductor (80,2 A)
Imáx: intensidad máxima que puede recorrer el conductor en las condiciones de la instalación (Imáx70 = Itabla70• KP•KA = 180 x 0,97 x 0,76 = 132,7 A) (ver tabla de intensidades admisibles de la que se ha tomado el valor para 70 mm², 180 A)
Sustituyendo
Ti70 = 25 + (105-25) x (80,2/132,7)² = 54,22 ºC
Por lo que la intensidad de cortocircuito será:

, por tanto la sección de 70 mm² soportaría la intensidad de cortocircuito de 12830 A durante los 0,3 s de tiempo hasta el disparo de las protecciones.
Vamos a probar con la sección de 50 mm²:
Imáx50 = Itabla50• KP•KA --> Imáx50 = 145 x 0,97 x 0,76 = 106,9 A (intensidad máxima que puede soportar el conductor en las condiciones de la instalación)

El conductor de 50 mm² no soporta la intensidad de cortocircuito como vemos. La solución es por lo tanto 70 mm².
No obstante tendríamos ahora que plantear el concepto de “sección comercial” como aquella sección que es más fácil encontrar en stock y sobre todo es más económica al no tener que acogernos a plazos de suministro ni a mínimos de fabricación. Hay una serie de secciones de gran consumo y por tanto de frecuente fabricación que el proyectista debe tener en cuenta y así facilitar el suministro en obra. En el ejemplo desarrollado convendría que finalmente la sección a utilizar fuera de 95 mm² 12/20 kV Al Eprotenax Compact, al ser un tipo de cable y una sección de consumo frecuente así como 150, 240 y 400.
Prysmian fabrica y provee las secciones que usted necesite, se trate de cables unipolares o multipolares, de cobre o aluminio, con XLPE o HEPR, armados o sin armar, de una u otra tensión… pero, si no se trata de las secciones de más común suministro, normalmente es necesario encargar un mínimo metraje o consultar existencias.