Como ya sabemos, cuando calculamos la secciones de conductor por el criterio de la intensidad admisible debemos tener en cuenta la temperatura del ambiente en que se encuentra la canalización y si nos desviamos del estándar (40 ºC para instalaciones al aire y 25 ºC para enterradas) debemos aplicar un factor de corrección adecuado. Veamos de dónde salen los factores que nos facilita la UNE 20460-5-523
Según la ley de Ohm, la potencia eléctrica (PE) generada en forma de calor en un cable con n conductores activos responde a la siguiente expresión:
PE= n • RE • I2
Donde:
n es el número de conductores activos con carga en la línea (3 en el caso de circuitos trifásicos exentos de armónicos y 2 en monofásicos);
RE representa la resistencia óhmica del cable [Ω/m];
I es la intensidad de corriente que recorre cada uno de los conductores [A].
Según la “ley de Ohm térmica” la potencia disipada en forma de calor (PT) en un cable será:
Δθ = PT • RT
Siendo:
RT la resistencia térmica del ambiente que rodea al cable [ºC/W];
Δθ es la diferencia de temperatura del conductor (θC) y la del ambiente que le rodea (θA) [ºC] --> Δθ = θC - θA
Para que el sistema esté en equilibrio la potencia eléctrica generada y la térmica disipada deben ser iguales:
PE = PT --> n • RE • I2 = Δθ/ RT
Despejando I:
Para un salto térmico distinto a Δθ tendremos Δθ’ y una intensidad I’ -->
Operando podemos obtener ya el coeficiente de corrección por el que hay que afectar I para obtener I’:
El coeficiente de corrección es
Lo ilustramos con un ejemplo:
Supongamos un cable Afumex 1000 V (AS) instalado en bandeja en un ambiente a 50 ºC ¿Qué coeficiente de corrección por temperatura debería aplicarse?
Los cables tipo Afumex 1000 V (AS) son termoestables (ver página 22 de catálogo Prysmian para BT). Es decir, la temperatura máxima en sus conductores en régimen permanente es de 90 ºC (--> θC = 90 ºC) .
Como ya se ha comentado al principio la temperatura ambiente estándar en España para instalaciones al aire es de 40 ºC (--> θA = 40 ºC) .
Podemos entonces calcular el coeficiente de corrección para ambiente de 50 ºC:
Valor que coincide con el de la tabla 52-D1 de la norma UNE 20460-5-523:
Para obtener el resto de valores sólo debemos recordar que θC es 70 ºC para cables termoplásticos y 90 ºC para cables termoestables.
Idéntico proceso para calcular los valores de la tabla 52-D2 para instalaciones enterradas, teniendo en cuenta que en este caso la temperatura de referencia estándar es de 25 ºC en España.
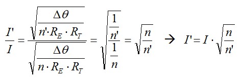
Aplicando la misma fórmula que hemos deducido podemos calcular el coeficiente de corrección que nos indica la ITC-BT 07 del REBT para calcular las intensidades admisibles de líneas monofásicas a partir de los valores de líneas trifásicas que recogen en las tablas 4 y 5.
En las notas a pie de tabla se contempla la aplicación del coeficiente 1,225 para obtener los valores de intensidad admisible para líneas con dos conductores en lugar de 3.
Recordamos la fórmula de corrección de la intensidad por efecto de la temperatura. En este caso tendremos los mismos términos en numerador y denominador salvo el número de conductores que serán 2 en un caso y 3 en otro.

Dando valores:
