El criterio de la caída de tensión en las instalaciones generadoras es, como es lógico, bastante estricto. Mostramos, a modo de ejemplo, un cálculo para instalación fotovoltaica teniendo en cuenta detalles importantes que se suelen obviar.
Calculamos por el criterio de la caída de tensión una línea principal de corriente continua de una instalación solar como la de la figura:

A modo de ejemplo tomamos los siguientes valores para el
cálculo: U = 750 V
I = 65 A
L = 105 m (inversor centralizado)
Sistema de instalación elegido: bandeja perforada a la intemperie
Cable
utilizado: Tecsun (PV) (AS)
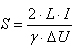
Para el cálculo de la caída de tensión tomamos la fórmula para continua (igual que alterna monofásica con cos φ = 1):

Siendo:
γ = 44 m/Ω.mm2 (valor para cobre a 90 ºC máxima temperatura en conductor para cables termoestables como el Tecsun (PV) (AS)) ΔU = caída de tensión admisible en V.
Para nuestro caso tomaremos, por ejemplo, una caída de tensión máxima de 1% en nuestra línea dado que hay que respetar lo que dice la ITC-BT 40, pto. 5 (…la caída de tensión entre el generador y el punto de interconexión a la Red de Distribución Pública o a la instalación interior, no será superior al 1,5 %, para la intensidad nominal). Por lo que este valor se debería ajustarse con el resto de líneas entre el generador y la red. Nuestra intención en el cálculo es ilustrar en el cálculo de la caída de tensión y no en los valores porcentuales a considerar que son objeto de estudio para cada caso.

Hasta aquí el cálculo de la caída de tensión. Ahora entramos en detalles sobre el valor de la conductividad tomado para el cobre (44 m/Ω•mm²).
Por el criterio, no dominante, de la intensidad admisible tenemos:
I = 65 A
Mayorando 1,25 (ITC-BT 40, pto 5) y aplicando 0,9 conveniente por estar expuesto al sol (sobrecalentamiento por radiación solar… UNE 20435), y 0,9 adicional por considerar un ambiente que pueda llegar a 50 ºC (UNE 20460-5-523), tenemos como intensidad a buscar en la tabla:
I’ = 1,25x65/(0,9x0,9) = 100,31 A
Al tratarse de bandeja a la intemperie con 2 conductores cargados (generalmente separados por seguridad frente a accidentes) y suponiendo que no hay influencia térmica de otras líneas:
Debemos aplicar la columna 13 de la tabla (ver página 23, catálogo Prysmian para BT):
S = 16 mm2
Por tanto, la sección por caída de tensión (1x50 mm2) domina con holgura.
Resulta evidente que utilizar 56 m/(Ω/mm²) para la conductividad del cobre es una hipótesis errónea. Este valor es para 20 ºC, si partimos de una instalación en un ambiente que puede ser aproximadamente de hasta 50 ºC y además el conductor se va a calentar por efecto Joule al transportar la corriente, la temperatura del conductor va a ser superior a 50 ºC y como mucho de 90 ºC (en el caso del cable Tecsun (PV) (AS) puede llegar hasta a ser de 120 ºC por su diseño especial).
Como en este cálculo la caída de tensión domina sobre la intensidad admisible (50 mm² frente a 16 mm²), el efecto Joule no va a llevar al conductor a su máximo de 90 ºC. Pero a grandes rasgos podríamos entender que el conductor de cobre podría estar al menos en torno a 60 ºC (muy distinto de 20 ºC) y por ello la conductividad (inversa de la resistividad) del cobre estaría en torno a:
γ60 = ρ20 [1 + α (60 – 20)] = 1/56 x [1 + 0,00392 x (60 – 20)] = 0,020657 -->
(Fórmula contenida en la página 45 del catálogo Prysmian para BT)
--> γ60 = 1/0,020657 = 48,41 m/(Ω.mm²)
Si aplicamos este valor estimado a nuestra fórmula de caída de tensión tenemos:

En nuestro caso nos sigue saliendo el mismo resultado que considerando el valor más desfavorable (necesario en ausencia de otras justificaciones).
Y si lo hiciéramos con el valor erróneo de 56 (para 20 ºC)

En este caso vemos que la sección es inferior pero al partir de una hipótesis errónea (20 ºC en el conductor) tendremos, por ello, una caída de tensión superior al 1%. Pudiendo llegar a un error del 28 %.
Para calcular el error exacto y calcular la caída de tensión exacta necesitaríamos calcular la temperatura del conductor en cada caso. Próximamente publicaremos un artículo sobre ello. No obstante en la página 75, punto 7 del catálogo Prysmian para BT tenemos detallado un cálculo de temperatura en el conductor.
En definitiva, la moraleja debe ser que si queremos no sobrepasar los límites de caída de tensión debemos tomar como conductividad 44 para el cobre y 27,3 para el aluminio (en cables termoestables) de lo contrario debemos calcular la temperatura del conductor.