Efectivamente, en secciones elevadas, el actual Reglamento Electrotécnico de Baja Tensión autoriza el encontrar por cálculo esta sección de protección según la norma ...
Se autoriza el encontrar por cálculo esta sección de protección según la norma UNE-20460-5-54, apartado 543.1
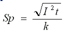
En este apartado se ofrece una fórmula de cálculo para obtener la sección del conductor de protección

cuyo resultado, en su aplicación práctica, pasará a la sección normalizada inmediatamente superior.
De los datos requeridos en la fórmula, la propia norma facilita el coeficiente "k" en función del tipo de aislamiento aplicado en cada cable (tablas 54b, 54c, 54d y 54e)
El parámetro "t" vendrá dado por el fabricante del dispositivo de corte.
El mayor problema práctico vendrá definido por el parámetro "I", que debería ser calculado en cada caso, con los condicionamientos concretos de la instalación que nos ocupe (Impedancia aproximadamente igual a 0)
A la hora de realizar éste cálculo, deberán tenerse en cuenta las notas 1, 2, 3 y 4 de la página 5 de la norma UNE-20460.
Por todo ello, y para facilitar las tareas de diseño y asegurar la idoneidad de la instalación, se recomienda seguir el criterio sencillo de Sp=S/2