Prysmian

Cálculo de la caída de tensión exacta

Publicado: 22 de enero de 2009 Categoría: Artículos técnicos

Ilustramos con un ejemplo el procedimiento de cálculo de la caída de tensión exacta en una línea, es decir, considerando la reactancia y la temperatura del conductor, parámetros que no suelen tenerse en cuenta pero que son relevantes en muchas ocasiones.

Cálculo de la caída de tensión exacta

Suponemos una línea que alimenta a un receptor trifásico con las siguientes características:

Reactancia de la línea --> x ≈ 0,07 Ω/km (ver artículo técnico anterior “Cálculo de la reactancia en líneas eléctricas”)

Intensidad de corriente --> I = 200 A

Tensión entre fases --> U = 400 V

Longitud de la línea --> L = 60 m

Coseno de φ --> cos φ = 0,9

Cable utilizado Afumex 1000 V Iris Tech unipolar (AS) (RZ1-K) 1 x 95 cobre--> XLPE3

Sistema de instalación: Bandeja perforada --> tipo F

Dos circuitos más en contacto --> coeficiente de corrección 0,87 (ver dibujo)

En la tabla de intensidades admisibles vemos que este cable soporta 271 A, que afectado del coeficiente de corrección por agrupamiento 0,87 nos queda en una intensidad máxima de…

271 A x 0,87 = 235,77 A (este valor es la intensidad máxima que puede soportar este cable en la situación en que está instalado, bandeja perforada con dos circuitos en contacto).

Recordando la fórmula para el cálculo de la temperatura del conductor:

θ = θ0 + (θmáx - θ0) • (I / Imáx)2

- θ: temperatura real estimada en el conductor

- θ0: temperatura ambiente (del conductor sin carga) --> 40 ºC (temperatura estándar ambiente en España)

- θmáx: temperatura máxima admisible para el conductor según su aislamiento --> como el cable Afumex 1000 V Iris Tech (AS) es termoestable --> 90 ºC

- I: intensidad prevista para el conductor --> 200 A

- Imáx: intensidad máxima admisible para el conductor según el tipo de instalación --> 235,77 A (este valor es el que puede presentar mayores dudas a la hora de ser obtenido. Es el valor de la intensidad máxima admisible en las condiciones de instalación que tenemos)

Sustituyendo:

θ = 40 + (90 – 40) • (200 / 235,77)² = 75,98 ºC

Por tanto la resistividad…

ρθ = ρ20 • [1 + α • (θ – 20)]

ρ75,98 = 1/56 x [1 + 0,00392 x (75,98 – 20)] = 0,0218 Ω mm² / m --> γ75,98 = 1/0,0218 = 45,87 m / Ω mm²

Obsérverse la gran diferencia entre considerar la conductividad a 20 ºC (γ = 56) o a la temperatura real (γ = 45,87). Por ello siempre que no se haga el cálculo que aquí exponemos debe considerarse el valor más desfavorable (γ = 44 en caso de cables de cobre con aislamiento termoestable). El error puede llegar a ser de un 28 %.

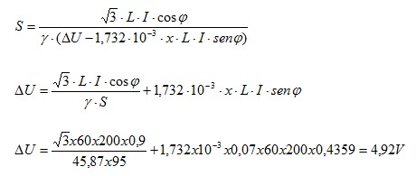
Con el valor de la conductividad a la temperatura real estimada del conductor ya podemos obtener la caída de tensión real:

Tomando la fórmula de cálculo de la sección por caída de tensión despejamos la caída de tensión ΔU:

La expresamos porcentualmente:

4,92 / 400 x 100 = 1,23 %

En nuestro catálogo de cables para BT puede encontrar este artículo y el de cálculo de la reactancia (página 74) así como numerosa información técnica de utilidad.