Es frecuente encontrar líneas que presentan los receptores repartidos a diferentes distancias de la fuente que los alimenta. En estos casos la sección por caída de tensión no se puede calcular con las fórmulas para un solo receptor. Con un breve proceso conseguimos obtener la solución para todos los casos que se presenten.
Supongamos un caso general:
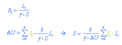
Desarrollamos el problema para corriente contínua. En color azul denotamos los valores relativos a la línea y en color verde los relativos a los receptores. La caída de tensión en el extremo de la red (punto de conexión de la carga P3) será:






Siendo Ri la resistencia entre la fuente y el punto de conexión del receptor i e Ii la intensidad que absorbe el receptor i.
La fórmula es igual en corriente alterna si las cargas son únicamente resistivas. Con objeto de calcular la sección de la línea, expresamos Ri en función de la conductividad (γ) de la sección de la línea (S) y de la distancia de cada punto de conexión de los receptores a la fuente de alimentación (Li):
(k = 2 monofásica [ida y vuelta]; k = √3 para trifásica)
Si la reactancia de la línea se considera cero y las cargas no son sólo resistivas:
Para ver el caso más general y llegar a las fórmulas que serán válidas para todos los casos, retomamos la fórmula básica de la caída de tensión en contínua:
Donde:
Li : Longitud de línea en m desde la fuente hasta el punto de conexión de cada receptor
Ii : Intensidad de corriente en A que absorbe cada receptor
cos φi : coseno de φ de cada receptor
sen φi : seno de φ de cada receptor
γ : conductividad eléctrica de la línea en m/Ω•mm²
ΔU : caída de tensión máxima admisible en V en la línea
x: reactancia de la línea en Ω/km Aplicación práctica Cálculo de la sección por caída de tensión de una línea trifásica de 400 V de tensión entre fases:
Datos:
γ : conductividad eléctrica del cobre 44 m/Ω•mm² (a 90 ºC, temperatura máxima para cables termoestables como el Retenax Flex que utilizamos en este caso)ΔU : 5% de caída de tensión máxima admisible en V en la línea (5 % de 400 = 20 V)
x: reactancia de la línea 0,08 Ω/km

Por el criterio de la intensidad admisible, considerando el cable de cobre unipolar Retenax Flex enterrado bajo tubo ( método D y XLPE3)
Suponiendo la intensidad final que sale de la fuente de alimentación como suma de intensidades de los receptores tendríamos I = 25 + 40 + 100 = 165 A. Si bien no hay que olvidar que el valor real debe obtenerse teniendo en cuenta las componentes activas y reactivas:
S = 70 mm² (ver tabla en página 20 del catálogo Prysmian de BT)
Vemos que para nuestro caso domina el criterio de la caída de tensión y por tanto y a falta de comprobar valores de cortocircuito, la sección uniforme a utilizar es de 95 mm².
Nota: utilizar cambios de sección en la línea (línea telescópica) es factible pero es necesario tener en cuenta que no sólo hay que rehacer cálculos sino también, entre otras razones, todo cambio de sección implica protecciones adicionales.
En el próximo artículo técnico concretaremos el problema cuando todos los receptores son iguales y están uniformemente repartidos (típico de alumbrados).